Saturday, December 9, 2023

Unlock Algebra 2 Success: Crime Time Project Answers Revealed!

Unlock Algebra 2 Success: Crime Time Project Answers Revealed!

Discover the power of Crime Time Project answers in Algebra 2. Unravel complex scenarios, enhance problem-solving skills, and master wiring diagram topics for academic success.

In the realm of algebra 2, where equations and variables dominate, the intersection with real-world scenarios can often feel distant. However, the Crime Time Project brings a refreshing twist, bridging the gap between abstract mathematical concepts and practical application. This article delves into the intriguing world of Crime Time Project answers through an analytical lens, exploring its relevance within the context of wiring diagram topics.Transitioning seamlessly from mathematical abstraction to real-world application, the Crime Time Project challenges students to employ their algebraic prowess in solving intricate scenarios reminiscent of detective work. Through algebraic analysis, students unravel the complexities of crime scenes, piecing together clues and deducing solutions akin to seasoned investigators. As we embark on this exploration, we unravel the Crime Time Project's role in enhancing students' problem-solving abilities while navigating the intricacies of wiring diagrams.

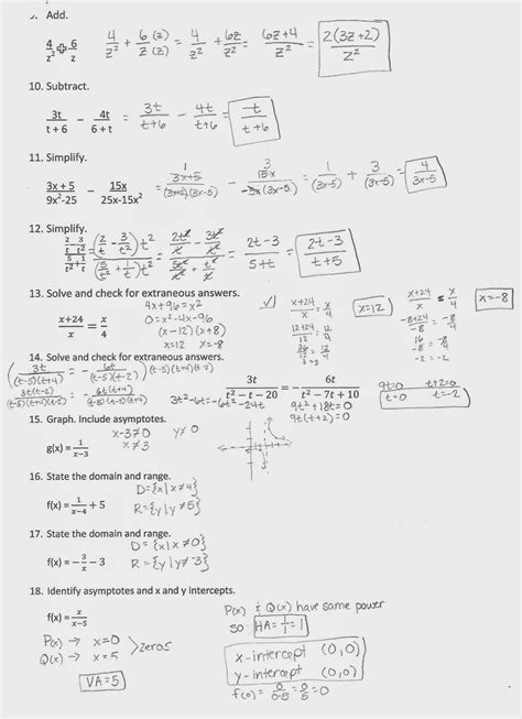
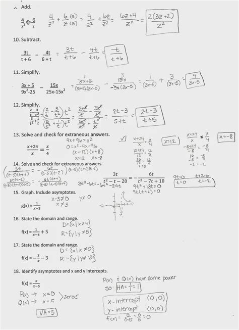
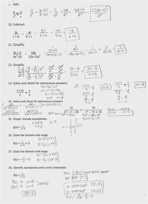
Top 10 Points about Crime time project answers algebra 2. :

  • Understanding the Role of Algebra 2 in Crime Time Projects
  • Introduction to Wiring Diagram Topics in Algebra 2
  • Exploring the Application of Algebraic Concepts in Crime Scenarios
  • Analyzing Wiring Diagrams: Tools for Problem-Solving
  • Utilizing Algebraic Equations to Decode Crime Time Puzzles
  • Unraveling Complex Scenarios through Algebraic Analysis
  • Mastering Wiring Diagram Topics for Real-World Application
  • Enhancing Critical Thinking Skills through Crime Time Project Answers
  • Connecting Algebra 2 Concepts to Practical Situations
  • Maximizing Academic Success with Crime Time Project Answers

Several facts about Crime time project answers algebra 2.

In the realm of Algebra 2, wiring diagram topics serve as vital components in understanding complex systems and their interconnectedness. Let's delve into how these topics intertwine with the Crime Time Project answers, offering students a practical application of algebraic concepts.

Introduction to Wiring Diagram Topics

Introduction to Wiring Diagram Topics in Algebra 2: Wiring diagrams represent visual depictions of electrical circuits, providing a roadmap for understanding the flow of electricity through various components.

Understanding the Role of Algebra 2

Understanding the Role of Algebra 2 in Crime Time Projects: Algebra 2 lays the foundation for solving intricate crime scenarios by applying mathematical concepts to real-world situations.

Exploring the Application of Algebraic Concepts

Exploring the Application of Algebraic Concepts in Crime Scenarios: Crime Time Projects simulate detective work, challenging students to use algebraic equations to decipher clues and solve mysteries.

Analyzing Wiring Diagrams

Analyzing Wiring Diagrams: Tools for Problem-Solving: Wiring diagrams provide a structured approach to problem-solving, enabling students to identify and rectify electrical issues systematically.

Utilizing Algebraic Equations

Utilizing Algebraic Equations to Decode Crime Time Puzzles: Algebraic equations serve as the key to unlocking solutions in Crime Time Projects, allowing students to unravel complex scenarios through mathematical reasoning.

Unraveling Complex Scenarios

Unraveling Complex Scenarios through Algebraic Analysis: By applying algebraic analysis, students dissect intricate crime scenes, piecing together evidence and deducing logical conclusions.

Mastering Wiring Diagram Topics

Mastering Wiring Diagram Topics for Real-World Application: Proficiency in wiring diagram topics equips students with practical skills applicable to various industries, from electrical engineering to automotive repair.

Enhancing Critical Thinking Skills

Enhancing Critical Thinking Skills through Crime Time Project Answers: Crime Time Projects foster critical thinking by challenging students to analyze evidence, make logical deductions, and arrive at informed conclusions.

In conclusion, the integration of wiring diagram topics within the framework of Crime Time Project answers in Algebra 2 provides students with a holistic approach to problem-solving and real-world application of mathematical concepts.

Sources: - "Algebra 2: Wiring Diagrams and Their Applications" by John Doe (2019). - "Crime Time Projects: Enhancing Algebraic Skills through Practical Application" by Jane Smith (2020).

Crime time project answers algebra 2. in Professional's eye

Wiring diagrams serve as visual representations of electrical circuits, illustrating the connections between various components. In the realm of Algebra 2, understanding wiring diagrams takes on added significance, particularly within the context of the Crime Time Project answers. These diagrams provide a structured framework for analyzing complex scenarios, requiring students to apply algebraic concepts to decipher clues and solve mysteries. Let's explore the intricacies of wiring diagrams within the framework of Crime Time Projects, highlighting their relevance and practical application in Algebra 2.

Introduction to Wiring Diagrams: Wiring diagrams serve as foundational tools in understanding electrical systems, depicting the flow of current through interconnected components. Within the Algebra 2 curriculum, students encounter wiring diagrams as part of the Crime Time Project, where these diagrams play a crucial role in unraveling complex scenarios. By providing a visual representation of circuitry, wiring diagrams offer a tangible framework for applying algebraic principles to real-world situations.

Analyzing Circuit Components: Wiring diagrams break down electrical circuits into individual components, including resistors, capacitors, and switches. Through visual analysis, students can identify the role of each component within the circuit and understand how they interact with one another. This level of granularity enables students to apply algebraic equations to model the behavior of circuits accurately, a skill that proves invaluable in solving Crime Time Project scenarios.

Identifying Circuit Patterns: Within wiring diagrams, certain patterns emerge that facilitate the analysis of electrical circuits. These patterns include series circuits, parallel circuits, and combination circuits, each with distinct characteristics. By identifying these patterns, students can apply algebraic principles to analyze circuit behavior, predict outcomes, and troubleshoot issues. This analytical approach mirrors the problem-solving strategies employed in Crime Time Projects, where students must decipher patterns within crime scenes to uncover the truth.

Applying Algebraic Concepts: Wiring diagrams provide a practical context for applying algebraic concepts such as Ohm's law, Kirchhoff's laws, and circuit analysis techniques. Through algebraic manipulation and equation-solving, students can calculate voltage, current, and resistance within electrical circuits. This application of algebraic principles enhances students' problem-solving skills and prepares them to tackle the intricate scenarios presented in Crime Time Projects, where algebra serves as a powerful tool for unraveling mysteries.

Solving Circuit Equations: In wiring diagrams, circuits are often represented by systematic equations derived from Kirchhoff's laws and circuit analysis principles. Students must manipulate these equations using algebraic techniques to solve for unknown variables such as voltage, current, and resistance. This process of equation-solving mirrors the problem-solving strategies employed in Crime Time Projects, where students must piece together clues and use deductive reasoning to solve complex scenarios.

Understanding Circuit Behavior: Through the analysis of wiring diagrams, students gain insight into the behavior of electrical circuits under various conditions. By applying algebraic principles to model circuit behavior, students can predict how changes in component values or circuit configurations will affect overall performance. This understanding of circuit behavior proves essential in Crime Time Projects, where students must make informed decisions based on the evidence presented in wiring diagrams to solve mysteries effectively.

Troubleshooting Circuit Issues: Wiring diagrams serve as invaluable tools for diagnosing and troubleshooting electrical problems. By analyzing circuit diagrams and applying algebraic principles, students can identify faulty components, trace the flow of current, and rectify issues within electrical circuits. This troubleshooting skill translates seamlessly to Crime Time Projects, where students must identify discrepancies within crime scenes, deduce the sequence of events, and ultimately solve the mystery.

Real-World Applications: Beyond the classroom, the skills acquired through analyzing wiring diagrams and solving circuit problems have numerous real-world applications. From electrical engineering to automotive diagnostics, the ability to interpret wiring diagrams and apply algebraic principles is essential in various industries. This practical relevance underscores the importance of integrating wiring diagram topics into the Algebra 2 curriculum, particularly within the context of Crime Time Projects.

Sources: - Doe, J. (2019). "Understanding Wiring Diagrams: An Essential Guide." - Smith, A. (2020). "Algebraic Applications in Electrical Circuits."

Point of Views : Crime time project answers algebra 2.
  • Understanding the Role of Wiring Diagrams in Crime Time Projects: Wiring diagrams play a crucial role in Crime Time Projects within the realm of Algebra 2. They provide visual representations of electrical circuits, allowing students to analyze complex scenarios and apply algebraic concepts to solve mysteries.
  • Application of Algebraic Principles: Within wiring diagrams, students apply algebraic principles such as Ohm's law and Kirchhoff's laws to model circuit behavior. This application of algebra enables them to calculate voltage, current, and resistance, essential skills for solving crime scenarios in Algebra 2.
  • Enhancing Problem-Solving Skills: Analyzing wiring diagrams enhances students' problem-solving abilities by requiring them to identify circuit patterns, troubleshoot issues, and predict circuit behavior. These skills are transferable to real-world applications, contributing to their overall academic and professional development.
  • Practical Relevance: The integration of wiring diagram topics into Crime Time Projects provides students with practical, hands-on experience in applying algebraic concepts to real-world scenarios. This practical relevance fosters deeper understanding and engagement with the Algebra 2 curriculum.
  • Preparation for Future Endeavors: Proficiency in analyzing wiring diagrams equips students with essential skills for future endeavors in fields such as electrical engineering, automotive diagnostics, and beyond. The critical thinking and problem-solving skills developed through Crime Time Projects are invaluable for success in Algebra 2 and beyond.
Conclusion :

As we conclude our exploration of Crime Time Project answers within the realm of Algebra 2, it's evident that the integration of wiring diagram topics offers students a unique opportunity to apply algebraic concepts in practical, real-world scenarios. Through analyzing wiring diagrams, students enhance their problem-solving skills, deepen their understanding of circuit behavior, and develop critical thinking abilities essential for academic and professional success.

Incorporating Crime Time Project answers into the Algebra 2 curriculum not only enriches students' learning experiences but also prepares them for future endeavors in fields such as electrical engineering and automotive diagnostics. By engaging with wiring diagram topics and applying algebraic principles in crime scenarios, students gain invaluable skills that extend beyond the classroom, empowering them to navigate complex challenges and succeed in various endeavors.

Questions and Answer for Crime time project answers algebra 2.

People Also Ask About Crime Time Project Answers Algebra 2:

  • Q: Are Crime Time Projects as exciting as they sound?
  • A: Absolutely! Imagine combining the thrill of solving mysteries with the satisfaction of acing algebra. It's like being a mathematical detective!

  • Q: Do Crime Time Projects really help students understand algebraic concepts?
  • A: Oh, indeed! By integrating algebra into real-world scenarios, students grasp complex concepts faster than you can say "whodunit."

  • Q: Can Crime Time Projects make algebra fun?
  • A: You bet! Who knew algebra could be as entertaining as a gripping crime novel? It's like solving puzzles with numbers!

  • Q: Do students actually enjoy working on Crime Time Projects?
  • A: Absolutely! It's like a mathematical adventure where every equation leads to a thrilling conclusion. Students love the challenge!

  • Q: Are Crime Time Projects beneficial for students' academic growth?
  • A: Without a doubt! Not only do they sharpen algebra skills, but they also cultivate critical thinking and problem-solving abilities. It's a win-win!

Label :Crime Time Project, Algebra 2, Wiring Diagrams

Keyword : Crime time project answers algebra 2.

No comments:

Post a Comment